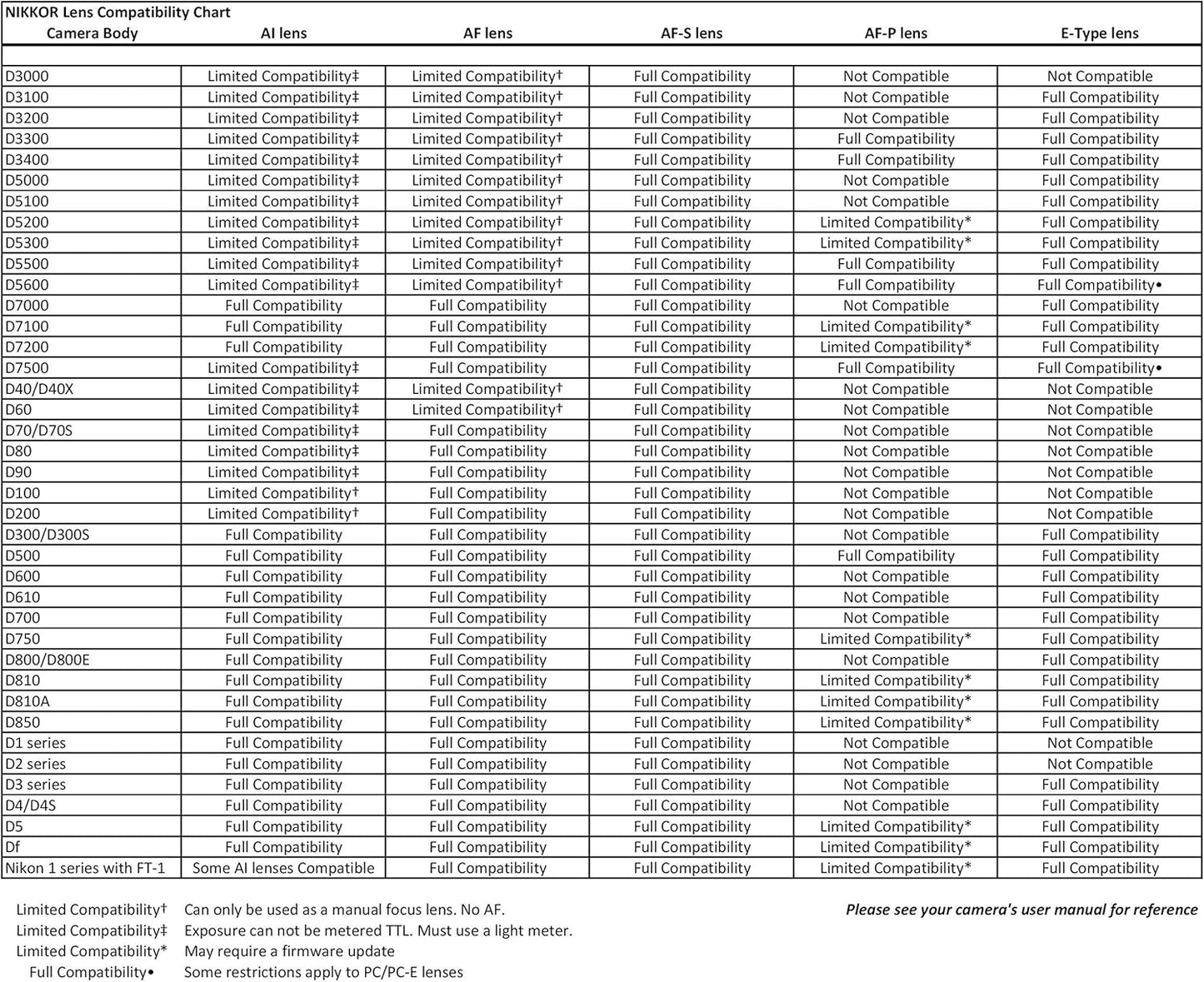
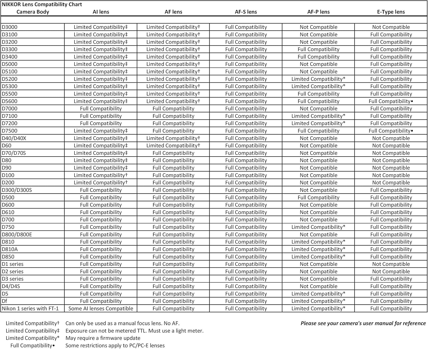
Nikon
Nikon Ai AF Zoom Nikkor ED 80-200mm F2.8D
Nikon Ai AF Zoom Nikkor ED 80-200mm F2.8D
Kan beschikbaarheid voor afhalen niet laden



お客様の声 Customer Reviews
実際にご購入いただいたお客様からのレビューです Reviews from our verified customers
日本から世界中へ配送いたします
SSL暗号化で安全にお支払いいただけます
厳選された高品質な商品のみをお届け
Hurry! Sale ends soon / お急ぎください!終了まで
あなたが最近チェックした商品です Products you recently checked
Nikon
Kan beschikbaarheid voor afhalen niet laden
実際にご購入いただいたお客様からのレビューです Reviews from our verified customers